Translate this page into:
Is Circulating Anti C1q Antibody a Better Predictor of Lupus Nephritis Activity Than Serum Levels of Anti-ds DNA Antibody and Complement Components 3 and 4?
Corresponding author: Devi S. Sruthi, Department of Nephrology, Government T.D. Medical College, Alappuzha, Kerala, India
-
Received: ,
Accepted: ,
Read CORRECTION associated with this - 10.25259/IJN_186_23_COR
How to cite this article: George M, Sruthi DS, George J, Gracious N. Is Circulating Anti C1q Antibody a Better Predictor of Lupus Nephritis Activity Than Serum Levels of Anti-ds DNA Antibody and Complement Components 3 and 4? Indian J Nephrol. 2025;35:760-4. doi: 10.25259/ijn_186_23
Abstract
Background
Lupus nephritis (LN) can cause significant morbidity and mortality if not diagnosed and treated in time. This study aimed to assess a non-invasive biomarker (anti-C1q antibody) for predicting LN’s histopathological activity.
Materials and Methods
This single center observational study included 50 patients with newly diagnosed LN. Serum anti-C1q antibody, anti-dsDNA antibody, C3, and C4 levels were correlated with National Institute of Health (NIH) activity index on kidney biopsy and SELENA SLEDAI instrument score, using Spearman’s correlation coefficient. ROC curves were drawn for these biomarkers’ serum levels for predicting NIH activity index score >10 on kidney biopsy.
Results
The coefficients of correlation of anti-C1q antibody, anti-dsDNA antibody, C3, and C4 serum levels with LN histological activity were 0.5, 0.43, 0.48, and 0.3, respectively, and with SELENA SLEDAI score were 0.7, 0.45, 0.40, and 0.3, respectively. A 30 U/mL cut-off level for the anti-C1q antibody titer had a 61% sensitivity, 78% specificity, and 72% predictive accuracy in assessing histological LN severity with an activity index > 10 on kidney biopsy.
Conclusion
Anti-C1q antibody serum levels correlated better with LN activity than anti-ds DNA antibody, C3, and C4 serum levels. Anti-C1q antibody serum levels > 30 U/mL can be used to predict severe proliferative LN with an activity index > 10 on kidney biopsy.
Keywords
Anti C1q antibody
Anti-ds DNA antibody
Complement component 3 (C3)
Complement component 4 (C4)
Lupus nephritis
Introduction
Approximately 50% of lupus patients develop clinically significant nephritis, which, if not promptly diagnosed and treated, can cause high morbidity and mortality.1 A kidney biopsy is the standard clinical practice if clinical or laboratory parameters suggest renal involvement. Non-invasive markers like anti-dsDNA antibodies and complement markers like C3 and C4 can aid in the diagnosis of lupus nephritis (LN)2,3 but may not be strong enough to predict LN histological activity.4,5
Cross-sectional studies have found an association between anti-C1q antibodies and kidney involvement.6,7.C1q, the initial complement component, activates the classical complement pathway and helps clear immune complexes and apoptotic cell debris.8 C1q binding to the Fc portion of IgG or IgM induces conformational changes in the former’s collagen-like region, exposing neoantigens, which in turn facilitate autoantibody formation against C1q.9 By interfering with complement activation, anti-C1q antibodies hamper immune complex solubilization and apoptotic cell clearance, thus favoring immune complex deposition in kidney tissue.10,11 Anti-C1q autoantibodies initiate and amplify local complement activation and cellular influx in the presence of C1q-containing immune complexes in the kidney tissue, leading to glomerulonephritis.12,13 Hence, anti-C1q antibodies can be important biomarkers for monitoring patients with LN.14,15
We investigated the correlation between anti-C1q antibody, anti-ds DNA antibody, C3, and C4 titer, and LN histopathological activity on kidney biopsy. We compared the biomarker accuracy in predicting LN histopathological activity to establish their use as non-invasive biomarkers for active kidney disease.
Materials and Methods
This was an observational (descriptive cross-sectional) study conducted at the Government Medical College, Thiruvananthapuram, Kerala, India, from April 2018 to March 2019. Patients with SLE, satisfying Systemic Lupus International Collaborating Centres (SLICC) criteria16 and having features of LN like hematuria (microscopic or macroscopic), proteinuria >500 mg/day, or elevated creatinine were included. Pregnant patients and all patients diagnosed and biopsied before the study period were excluded. Institutional ethical committee clearance was obtained.
After taking informed written consent, patients were interviewed, and relevant clinical details and blood and urine investigation reports were collected and recorded. For assessing clinical activity, the SELENA SLEDAI Instrument score17 (0-105) was used. Anti-C1q antibody and anti-dsDNA titers, and C3 and C4 levels were estimated with kidney biopsy.
LN was confirmed by kidney biopsy findings based on the International Society of Nephrology/Renal Pathological Society lesion definition and classification 2004.18 National Institute of Health (NIH) activity index score (0-24) and chronicity index (0-12) were calculated from light microscopy findings.19 Kidney biopsy was reported at the Amritha Institute of Medical Science Edappally, Kochi, a national Accredited Renal Pathology Lab in South India. Kidney pathologists were blinded to the immunological results. Serological estimations were done in the Advanced Clinical Research lab of Government Medical College, Thiruvananthapuram, a national Accredited Research laboratory.
Anti-C1q antibody titers were estimated by the quantitative measurement of IgG class autoantibodies against C1q in human serum using a quantitative ELISA kit (Organtek Diagnostika GmbH Carl-Zeiss- Mainz – Germany). The determination was based on an indirect enzyme-linked immune reaction. The ELISA’s calculation range was 0 - 100 U/mL. Values <10 IU/mL were considered negative.
Anti-dsDNA levels were estimated by quantitative ELISA using an AESKULISA kit. A whole blood specimen was collected, allowed to clot, and the serum was separated by centrifugation. The assay’s calculation range was 0-300 IU/mL.
Serum C3 and C4 concentrations were measured by the immunoturbidimetric method on Roche/Hitachi Cobas c systems with 0.04 and 0.02 detection limits, respectively. The normal ranges for C3 and C4 were 90-180 mg/dL and 10-40 mg/dL, respectively.
The sample size was estimated using a previous study by Chi et al.20 which showed a 0.58 correlation coefficient between anti-C1q antibodies and SLEDAI score. Using r=0.58 and allowing a 5% α-error and 20% β-error, the sample size was calculated using the equation N = [(Zα + Zβ √1-r2)/r]2+2 where Zα = 1.96 and Zβ = 0.84 and N = 24. To address the design effect, 2N was considered an effective sample size, i.e., 48 ≈ 50.
Statistical analysis
The data was numerically coded and entered in Microsoft Excel. The relationship between anti-ds DNA antibody, anti-C1q antibody, C3, and C4 serum levels with NIH activity index and SELENA SLEDAI SCORE in LN were assessed using Spearman’s correlation coefficient. Data were presented as mean ± standard deviation (SD). A p-value<0.05 was considered statistically significant. ROC curves were drawn to determine the optimal cut-off values of all serological markers for predicting the NIH Activity index (on kidney biopsy) >10. Sensitivity, specificity, and predictive values of each parameter were calculated with the derived values. Data were analyzed using IBM Corp. IBM SPSS software, version 16 for windows [computer software].
Results
The baseline demographic characteristics have been shown in Table 1. The average age was 27.10 ± 9.91 years. (males: 20.25 ± 5.120 years, females: 28.40 ± 10.10 years) with a female preponderance (42 were females and 8 were males).
| Characteristic | Frequency |
|---|---|
| Age (years) | |
| 11-20 | 18 (36) |
| 21-30 | 15 (30) |
| 31-40 | 10 (20) |
| 41-50 | 7 (14) |
| Sex | |
| Males | 8 (16) |
| Females | 42 (84) |
A statistically significant correlation was found between all serum biomarkers and the histopathological activity of lupus on kidney biopsy [Supplementary Figure 1]. The correlation with histological severity was strongest for anti-C1q titer (correlation coefficient: -0.058, p value < 0.001), followed by serum C3 (correlation coefficient: -0.488, p value <0.001), anti-dsDNA titer (correlation coefficient: 0.426, p value: 0.002), and serum C4 (correlation coefficient: -0.298, p value: 0.036).
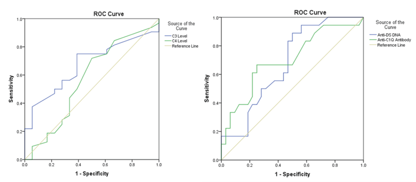
ROC curves were drawn to find the cut-off values for above parameters to predict an NIH activity index >10 [Figure 1]. For predicting activity index >10 on kidney biopsy samples, area under the ROC curve for anti-C1q titer, anti-dsDNA titer, C3 level, and C4 level were 0.7, 0.6, 0.6, and 0.5, respectively. Optimal serum level cut-offs for each parameter to predict activity index >10 were also estimated from the ROC curve: Anti-C1q antibody ≥30 U/mL, anti-dsDNA antibody ≥80 IU/mL, C3 ≤40 mg/dL, and C4 ≤8 mg/dL. Using these cutoffs, the results were analyzed. Sensitivity, specificity, positive predictive value (PPV), and negative predictive value (NPV) were calculated to determine the best parameters for predicting LN histological activity [Table 2].

- Receiver operating characteristic (ROC) curves for prediction of activity index >10 on kidney biopsy based on serum levels of C3, C4, anti-dsDNA antibody, and anti-C1q antibody. For predicting activity index >10 on kidney biopsy samples Area under ROC for anti C1q titer was 0.7, anti-dsDNA titer was 0.6, C3 level was 0.6, and C4 level was 0.5.
| Parameter | Activity index (n) | Total | Sensitivity (%) | Specificity (%) | Positive predictive value (%) | Negative predictive value (%) | Accuracy (%) | |
|---|---|---|---|---|---|---|---|---|
| <10 | >10 | |||||||
| C3 Level (mg/dL) | ||||||||
| <40 | 11 | 8 | 19 | 50.0 | 71.9 | 50.0 | 71.9 | 64.0 |
| > 40 | 7 | 24 | 31 | |||||
| Total | 18 | 32 | 50 | |||||
| Anti-dsDNA (IU/mL) | ||||||||
| <80 | 2 | 16 | 18 | 88.9 | 50.0 | 50.0 | 50.0 | 64.0 |
| >80 | 16 | 16 | 32 | |||||
| Total | 18 | 32 | 50 | |||||
| Anti-C1q (U/mL) | ||||||||
| <30 | 7 | 25 | 32 | 61.1 | 78.1 | 61.1 | 78.1 | 72.0 |
| >30 | 11 | 7 | 18 | |||||
| Total | 18 | 32 | 50 | |||||
| C4 Level (mg/dL) | ||||||||
| <8 | 9 | 9 | 18 | 50.0 | 71.9 | 50.0 | 71.9 | 64.0 |
| >8 | 9 | 23 | 32 | |||||
| Total | 18 | 32 | 50 | |||||
Anti-C1q antibody has predicted 61.1% of cases with an activity index >10 and 78.1% of cases with histological activity <10 [Supplementary Figure 2]. The overall predictive accuracy of anti-C1q antibody (for histological activity) was 72.0%, which was higher than other biomarkers. Anti-C1q antibody titer had maximum specificity (78%) and maximum PPV (61%), while anti-dsDNA titer had maximum sensitivity (89%) and NPV (89%).
A significant and negative correlation was found between C3 levels and SELENA SLEDAI score (correlation coefficient -0.402, p value: 0.004)]. Serum C4 levels did not correlate significantly with SLEDAI scores (correlation coefficient: -0.190, p value: 0.186). Anti-dsDNA (correlation coefficient: 0.459, p value: 0.001) and anti-C1q titers (correlation coefficient: 0.377, p value:0.007) had a significant positive correlation with SLEDAl scores, indicating an increase in lupus’ clinical disease activity, with an increase in anti-dsDNA or anti-C1q titres [Supplementary Figure 3].
Discussion
An early understanding of LN activity with a non-invasive biomarker has an important clinical implication in guiding treatments in appropriate clinical settings. Anti-C1q titer was the non-invasive serum biomarker that had maximum correlation with LN’s histopathological activity. All other biomarkers (serum C3, C4, and anti-dsDNA levels) also showed a statistically significant correlation.
In a previous study by Emad et al., anti-C1q antibody had significantly higher prevalence and titers in proliferative than in non-proliferative LN forms.15 Radanova et al.21 also, found a statistically significant positive correlation between anti-C1q levels and histological activity index on kidney biopsy. However, contrasting findings were observed in some previous studies like one by Moroni et al.14, where correlation of four parameters with activity index on kidney biopsy found maximum strength of correlation with serum C3 levels and minimum with anti-C1q antibody titer. In a study by Chen et al.,22 the anti-C1q antibody prevalence in patients with proliferative LN was higher than in those with mesangial LN (class II), but there was no statistical significance. The anti-C1q antibody levels were positively correlated with kidney activity indices (r = 0.59, p < 0.001) and negatively correlated with chronicity indices (r = −0.326, p < 0.05).
The anti-C1q antibody titer had the maximum specificity (78%) and PPV (61%), while the anti-dsDNA titer had maximum sensitivity (89%) and NPV (89%). The anti-C1q titer showed maximum predictive accuracy among the four parameters, and C4 levels showed the minimum.
Anti-C1q titer’s sensitivity (61%) and NPV (78%) to predict histopathological activity were less than in previous studies,8,10 though both specificity and positive predictive values were comparable [Table 3].
In the study by Trendelenberg et al.,8 the anti-C1q assay showed 97.2% sensitivity and 70.3% specificity for active glomerulonephritis detection in patients with SLE. This study showed a higher specificity than sensitivity for anti-C1q titer. Sinico et al.,10 found anti-C1q antibodies showing better sensitivity and specificity in proliferative LN (80.5 and 94 %, respectively) than other tests for kidney flare diagnosis. Radanova et al.,21 showed that the presence of anti-C1q antibodies was strongly associated with Class IV LN, with a higher specificity (93.5%) than sensitivity (40.0%), comparable to our study. However, the sensitivity was much less than what was found in our study. The validity of anti-C1q antibodies in LN diagnosis was assessed by Emad et al.,15 who found anti-C1q and anti-dsDNA antibodies to be the most specific and sensitive in diagnosing LN activity in comparison with C3, C4, ANA and SLEDAI (sensitivity: 93.3% and specificity: 98.0%). However, the studies compared were heterogenous, because they used different criteria for diagnosing lupus activity on kidney biopsy.
In our study the NPV for anti-C1q titer was higher when compared to PPV. In the study by Trendelenberg et al.8 for active glomerulonephritis detection in SLE patients, the anti-C1q assay showed a higher NPV (97.8%) than PPV (68.4%). Sinico et al.,10 found anti-C1q antibodies to show a higher NPV (94%) in proliferative LN. Radanova et al.,21 found that the presence of anti-C1q antibodies associated with Class IV LN, had a comparable PPV (76.9%) slightly less NPV (74.1%) than our study.
Each serologic parameter’s relation with clinical activity was assessed by the correlation coefficient of serum C3, C4, anti-dsDNA, and anti-C1q levels with SLEDAI SCORE. Correlation with clinical severity was in the following order- anti-C1q > anti-dsDNA > C3 > C4. These findings were like those observed by Sinico et al.23 where anti-c1q antibody levels correlated with SLEDAI score better.
Our research has limitations. The anti-C1q titer and other serological markers were studied at the initial presentation only. The markers’ utility in predicting subsequent relapses was not addressed. The study’s sample size was small. It was a single-center study from a small geographic area, forming a homogenous racial cohort. More than one pathologist could have kidney reported the biopsies, and inter-observer variability was not tested. The correlation of serum markers with activity markers like necrosis and crescents was not specifically analyzed.
Thus, anti-C1q autoantibodies, as a non-invasive serum biomarker, are promising in predicting histopathological LN activity on kidney biopsy. However, the validity and predictive accuracy of anti-C1q titers obtained in this study are not reassuring enough to be recommended for routine clinical practice. Future studies on this concept need to study larger samples to establish anti-C1q titer as a non-invasive LN biomarker, especially in a patient subgroup with mild to moderate LN flare, where a kidney biopsy is not always used to decide upgradation of treatment with immunosuppressive agents.
Conflicts of interest
There are no conflicts of interest.
References
- Lupus: An overview of the disease and management options. P T.. 2012;37:240-9.
- [PubMed] [PubMed Central] [Google Scholar]
- Correlation between systemic lupus erythematosus disease activity index, C3, C4 and anti-dsDNA antibodies. Med J Armed Forces India. 2010;66:102-7.
- [CrossRef] [PubMed] [PubMed Central] [Google Scholar]
- Relationship between anti-DNA antibodies complement consumption and circulating immune complexes in systemic lupus erythematosus. Clin Exp Immunol. 1977;28:226-32.
- [PubMed] [PubMed Central] [Google Scholar]
- Biomarkers for lupus nephritis: A critical appraisal. J Biomed Biotechnol. 2010;2010:638413.
- [CrossRef] [PubMed] [PubMed Central] [Google Scholar]
- Which autoantibodies announce that lupus nephritis is on the way? International Journal of Clinical Rheumatology. 2009;4:287-95.
- [CrossRef] [Google Scholar]
- Combination of anti-C1q and anti-dsDNA antibodies is associated with higher renal disease activity and predicts renal prognosis of patients with lupus nephritis. Nephrol Dial Transplant. 2012;27:3552-9.
- [CrossRef] [PubMed] [Google Scholar]
- Anti-C1q antibodies in nephritis: Correlation between titres and renal disease activity and positive predictive value in systemic lupus erythematosus. Ann Rheum Dis. 2005;64:444-8.
- [CrossRef] [PubMed] [Google Scholar]
- High prevalence of anti-C1q antibodies in biopsy-proven active lupus nephritis. Nephrol Dial Transplant. 2006;21:3115-21.
- [CrossRef] [PubMed] [Google Scholar]
- Pathogenesis of renal disease in systemic lupus erythematosus--the role of autoantibodies and lymphocytes subset abnormalities. Int J Mol Sci. 2015;16:7917-31.
- [CrossRef] [PubMed] [PubMed Central] [Google Scholar]
- Anti-C1q autoantibodies in lupus nephritis. Ann N Y Acad Sci. 2009;1173:47-51.
- [CrossRef] [PubMed] [Google Scholar]
- Anti-C1q antibody is associated with renal and cutaneous manifestations in Asian Indian patients with systemic lupus erythematosus. J Clin Diagn Res. 2017;11:OC39-42.
- [CrossRef] [PubMed] [PubMed Central] [Google Scholar]
- Nucleosomes and C1q bound to glomerular endothelial cells serve as targets for autoantibodies and determine complement activation. Mol Immunol. 2011;49:75-83.
- [CrossRef] [PubMed] [Google Scholar]
- Complement system in SLE as a target for antibodies. Curr Rheumatol Rev. 2013;9:34-4.
- [CrossRef] [PubMed] [Google Scholar]
- The value of a panel of autoantibodies for predicting the activity of lupus nephritis at time of renal biopsy. J Immunol Res. 2015;2015:106904.
- [CrossRef] [PubMed] [PubMed Central] [Google Scholar]
- Anti-C1q antibodies in lupus nephritis and their correlation with the disease activity. Saudi J Kidney Dis Transpl. 2020;31:342-5.
- [CrossRef] [PubMed] [Google Scholar]
- Derivation and validation of the systemic lupus international collaborating clinics classification criteria for systemic lupus erythematosus. Arthritis Rheum. 2012;64:2677-86.
- [CrossRef] [PubMed] [PubMed Central] [Google Scholar]
- Combined oral contraceptives in women with systemic lupus erythematosus. N Engl J Med. 2005;353:2550-8.
- [CrossRef] [PubMed] [Google Scholar]
- The ISN/RPS 2003 classification of lupus nephritis: An assessment at 3 years. Kidney Int. 2007;71:491-5.
- [CrossRef] [PubMed] [Google Scholar]
- Diffuse proliferative lupus nephritis: Identification of specific pathologic features affecting renal outcome. Kidney Int. 1984;25:689-95.
- [CrossRef] [PubMed] [Google Scholar]
- Antibodies against C1q are a valuable serological marker for identification of systemic lupus erythematosus patients with active lupus nephritis. Dis Markers. 2015;2015:450351.
- [CrossRef] [PubMed] [PubMed Central] [Google Scholar]
- Autoantibodies against complement classical pathway components C1q, C1r, C1s and C1-inh in patients with lupus nephritis. Int J Mol Sci. 2022;23:9281.
- [CrossRef] [PubMed] [PubMed Central] [Google Scholar]
- Anti-C1q antibody is a valuable biological marker for prediction of renal pathological characteristics in lupus nephritis. Clin Rheumatol. 2012;31:1323-9.
- [CrossRef] [PubMed] [Google Scholar]
- Anti-C1q autoantibodies in lupus nephritis: Prevalence and clinical significance. Ann N Y Acad Sci. 2005;1050:193-200.
- [CrossRef] [PubMed] [Google Scholar]

